网站首页
关于我们
关于我们
企业文化
组织机构
生产能力
技术能力
工艺流程
新闻中心
产品中心
液晶材料
光学材料
电极与薄膜材料
电解液材料
隔膜材料
导电材料
能量存储材料
电子助剂
人力资源
MSDS
联系我们
产品中心
液晶材料
光学材料
电极与薄膜
电解液
隔膜材料
导电材料
能量存储
电子助剂
当前位置:
首页
>
产品展示
>
光学材料
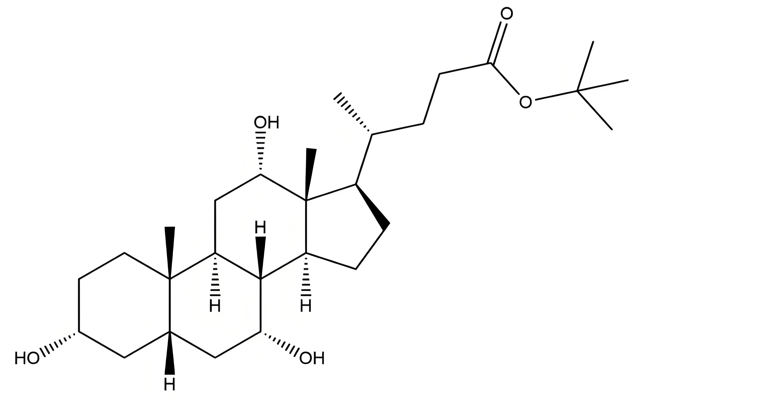
>(3α,5β,7α,12α)-3,7,12-trihydroxycholan-24-oic acid 1,1-dimethylethyl ester
(3α,5β,7α,12α)-3,7,12-trihydroxycholan-24-oic acid 1,1-dimethylethyl ester
商品介绍
中文名
胆酸叔丁酯
Name
(3α,5β,7α,12α)-3,7,12-trihydroxycholan-24-oic acid 1,1-dimethylethyl ester
Synonyms
tert-butyl cholate;t-butyl cholate;cholic acid tert.butyl ester;
Molecular Structure
Molecular Formula
C28H48O5
Molecular Weight
464.678
CAS No.
122752-67-4
EINECS No.
Purity
≥99.0%
网站首页
关于我们
新闻中心
产品
中心
生产能
力
品
质体系
人力资源
联系我们
版权所有@
万景
有限公
司
evapormaterial@126.com